El misterio de la Energía Oscura / El misterio de la Materia Oscura

Resumen del misterio de la energía oscura y de la materia oscura

  Los cosmólogos, a modo de analistas de laboratorio que nos dicen la cantidad de glucosa en la sangre utilizando equipos muy precisos, utilizan modelos teóricos del conjunto del Universo para darnos la composición del mismo, y con estos modelos, sin necesidad de ajustar decimales, nos dicen que el Universo está compuesto de un 68 % de energía oscura (dark energy) y un 27 % de materia oscura (dark matter).


  Ese “cinco por ciento” de materia restante, ordinaria, es la que compone la Tierra, las plantas, animales, planetas, estrellas, nubes de polvo, galaxias, todo aquello que podemos ver con nuestros ojos y con los instrumentos de los que disponemos.

  Sobre ese 95 % que forman la energía oscura y la materia oscura hay más desconocido que conocido.
  Energía oscura es una forma de energía que está presente en el espacio y que tiende a ejercer una presión, a  diferencia de la fuerza gravitacional, de carácter repulsivo y que lleva a la expansión acelerada del Universo conocido.


  Materia oscura se denomina a la materia que no emite suficiente radiación electromagnética para ser detectada con los instrumentos, los medios técnicos actuales, pero cuya existencia se puede deducir a partir de los efectos gravitacionales que causa en la materia visible, tales como las estrellas o las galaxias, así como en las anisotropías del fondo cósmico de microondas presente en el universo, y en los efectos que produce en la luz, al desviarla de su camino, funcionando esta materia oscura como una lente gravitacional.

  Uno podría pensar que teniendo en cuenta lo que vamos a tratar el color predominante sería el negro, que las imágenes serán cuando menos en blanco y negro, y con nula luminosidad, algo “muy oscuro”, pero no es así, hoy existen herramientas, modelos para inferir, que nos permiten discernir y colorear aquello que no podemos ver con el ojo humano y con los instrumentos disponibles; algo que a los científicos les permite mostrarnos imágenes del universo espectaculares, aunque todavía no hemos llegado a saber que compone, que partícula o partículas las describen,  todavía estamos lejos de resolver el misterio de la energía oscura y de resolver el misterio de la materia oscura.

 

Un ejemplo para empezar a resolver el misterio de la materia oscura:

  En la imagen compuesta inferior, podemos ver el grupo (clúster) de galaxias en colisión Abel 2744 situado a 3.500 millones de años luz de la Tierra, con una zona central denominada Racimo de Pandora.  Uno de los choques más dramáticos entre cúmulos de galaxias jamás visto. La imagen esta compuesta de cuatro imágenes tomadas con distintos instrumentos.

  En la imagen 1  podemos ver el cumulo de galaxias en una toma en el espectro visible de la luz, lo que podemos ver con nuestros ojos a traves de tomas en los telescopios Hubble (HST) y VLT (Very Large Telescope del Observatorio Europeo Austral en Chile). La masa de las galaxias existentes en el cumulo Abel 2744 solo representan el 5% de la masa total.

  En la imagen 2 en color rojo  podemos ver los datos del Observatorio de rayos X Chandra de la NASA, que muestra nubes de gas con temperaturas de millones de grados. Estas nubes de gas supercaliente son solo visibles en la banda de rayos X del espectro electromagnético y   representan el 20% de la energía existente.

  Siguiendo en la imagen inferior el recorrido en forma de Z , en la imagen 3 vemos en color azul el mapa que nos muestra la concentración de masa total (materia oscura en su mayoría), el mapa se ha realizado con los datos aportados por tomas con el Telescopio Espacial Hubble (HST) , el VLT y el telescopio japonés Subaru y con algo más, sin lo cual sería imposible verlo, dado que la materia oscura no emite, no absorbe ni refleja la luz.

  Científicos de la NASA han sido capaces de medir  la curvatura de los rayos de luz de las galaxias distantes a medida que pasan a través del campo gravitatorio presente en el clúster Abel 2744 y a partir de las distorsiones producidas han sido capaces de generar un mapa (mapa gravitacional) de la materia existente, revelándose la existencia de más materia que la materia de las galaxias que forman el clúster, esa materia que representa el 75 % del total de lo existente, sería lo que denominamos materia oscura.

En la imagen 3 podemos ver en color azul el mapa de la materia existente total, con una densidad mayor en el centro de la imagen en lo que han denominado racimo de Pandora.

La materia oscura solo se hace evidente por el poder gravitacional que ejerce, y que se manifiesta porque es capaz  de desviar la luz de las galaxias y estrellas que se encuentran detrás y más lejanas del clúster Abel 2744. A este fenómeno se le denomina lente gravitacional o gravitatoria (ver dibujo inferior explicativo).

 

Por lo tanto la materia oscura se puede inferir con los instrumentos existentes a día de hoy de forma indirecta como han demostrado estos científicos de la NASA.

Por último, en la cuarta imagen, lo que vemos es una composición que agrupa las imágenes tomadas con todos los instrumentos más el mapa gravitacional, una nueva forma, más atractiva si cabe de ver el Universo, donde empiezan a verse todos los componentes del Universo.

 

Un ejemplo para empezar a resolver el misterio de la energía oscura.

Existen en el Universo un tipo objetos que pueden ser utilizados como referencia a la hora de realizar ciertos cálculos. En relación a la energía oscura la existencia de un tipo de supernovas (estrellas que brillan tanto como galaxias y que surgen después de una explosión (ver en la web el tema de agujeros negros donde se describe su formación)) que tienen una característica especial, y es que todas tienen la misma luminosidad cuando alcanzan su máximo brillo. Desde el punto de vista técnico se las denomina supernovas tipo Ia, y en forma más poética “candelas estándar”.

¿Y para qué sirven en relación a la energía oscura? usando estas supernovas, podemos medir el tamaño del Universo cuando la estrella estalló y la distancia a la misma. Con esta información, la velocidad de la luz y la teoría general de la relatividad, podemos determinar cuánto tardó la luz en llegar a la Tierra y por ende, la edad del Universo en el momento de la explosión de la supernova.

 

Comparando el brillo relativo de dos supernovas tipo Ia a distintas distancias, podemos determinar su distancia relativa.

¿Qué componente nos falta para tener todos los que nos permitan discernir la existencia de energía oscura? ¿Cuál era el tamaño del universo en el momento de la explosión? los científicos utilizan, también, el espectro de la luz emitida para ver el desplazamiento hacia el rojo. Al estallar la supernova, la luz se emite en forma de ondas. En su viaje hacia la Tierra durante miles de millones de años, el Universo continúa expandiéndose, estirando la onda consigo. Cuanto más se haya expandido el Universo desde la explosión hasta nuestra observación de la onda, más se estirará la onda, es decir mayor será su longitud de onda y cuando uno observa el espectro de la luz visible, la luz con mayor longitud de onda es la roja. Por lo tanto la luz proveniente de la supernova habrá sufrido un desplazamiento hacia el rojo.

Comparando la historia de distintas supernovas los cosmólogos son capaces de discernir la historia del Universo conocido. En 1998, se publicaron por primera vez estas medidas para supernovas que estallaron cuando el Universo tenía dos tercios del tamaño actual. Estas supernovas tenían una luz un 25% más débil, es decir, estaban más lejos, de lo esperado en un Universo que estuviera frenándose. El efecto, por tanto, se atribuyó a una aceleración cósmica en los últimos miles de millones de años.

Y aquí es donde entra la energía oscura, o existe y tiene un componente repulsivo que justifique esa aceleración en la expansión del Universo o debemos de buscar otra teoría que esplique la realidad, y esa teoría ha de ser distinta de la teoría de la relatividad general de Einstein.

Hoy existe una iniciativa denominada Dark Energy Survey (DES) que medirá el brillo de más de 3000 supernovas a miles de millones de años-luz de la Tierra y que se espera que ofrezca luz sobre la expansión acelerada del Universo y por ende el inferir la existencia de la energía oscura.

Si bien lo que no nos dirá es de que está compuesta esa energía oscura.

 

¿Qué preguntas nos surgen entonces en relación a estos misterios del Universo conocido?

¿Qué compone la energía oscura? ¿Hay una partícula que pueda describir la energía oscura? ¿Qué compone la materia oscura? ¿Hay una partícula que pueda describir la materia oscura?¿Quizá hay otra teoría distinta a la de la relatividad general que describa mejor lo que acontece en el Universo? ¿Qué importancia tiene la energía oscura para entender el Universo ahora y en el futuro?


Antecedentes sobre la energía oscura y sobre la materia oscura

  El término "energía oscura" fue acuñado por el cosmólogo Michael Turner (imagen izq.) en 1998. En esa época algunos cosmólogos empiezan a teorizar sobre la existencia de algo adicional en el Universo que pudiera explicar la estructura a gran escala del Universo y la falta de ajuste en el balance de masa. La primera prueba directa de la energía oscura provino de las observaciones de la aceleración de expansión de las supernovas de dos equipos de astrónomos, uno liderado por Adam Riess (imagen con telescopio) y otro que confirmaría las observaciones liderado por Saul Perlmutter (en la imagen sobre una escalera) y por lo que ambos recibieron el premio Nobel de física en 2011. Esto dio como resultado el modelo Lambda- Cold dark matter (ΛCDM), que hasta 2006 era consistente con una serie de observaciones cosmológicas rigurosamente crecientes, las últimas de 2005 de la Supernova Legacy Survey. Los primeros resultados revelaron que el comportamiento medio de la energía oscura se comporta como la constante cosmológica de Einstein con una precisión del 10%. Los resultados del Hubble Space Telescope Higher-Z Search Team indican que la energía oscura ha estado presente durante al menos 9.000 millones de años y durante el periodo precedente a la aceleración cósmica.

En 1998, para explicar la aceleración cósmica, los cosmólogos se enfrentaban a dos posibilidades: o bien el 68 % del Universo está compuesto de un nuevo y exótico componente denominado energía oscura, con características gravitatorias opuestas a la materia ordinaria, o bien la relatividad general debe ser reemplazada por una nueva teoría de la gravedad a escalas cosmológicas.  

En relación a la materia oscura, el astrofísico suizo Fritz Zwicky fue la primera persona en 1933 en proporcionar pruebas al estimar la velocidad orbital  de las galaxias situadas en el borde del cúmulo de galaxias Coma y estimar la masa total que debería de dar lugar a esos movimientos y ver que el conjunto de la masa visible era unas 400 veces inferior.  

A finales de los años 1960 y 1970 con los estudios realizados con un nuevo espectrógrafo para determinar de forma exacta la curva de velocidad de las estrellas en galaxias espirales , Vera Rubín, anunció en un encuentro en 1975 de la American Astronomical Society el descubrimiento de que muchas estrellas en distintas órbitas de galaxias espirales giraban a casi la misma velocidad angular, lo que implicaba que sus densidades eran muy uniformes más allá de la localización de muchas de las estrellas y lo que venía a indicar la existencia de materia oscura.
 

En el año 2005 astrónomos de la Universidad de Cardiff descubrieron una galaxia compuesta casi enteramente de materia oscura, a 50 millones de años luz del Cúmulo de Virgo, que fue denominada VIRGOHI21. Esta galaxia no parece contener ninguna estrella visible. De acuerdo a los perfiles de rotación, los científicos estimaron que este objeto contiene aproximadamente 1000 veces más energía oscura que el hidrógeno y tiene una masa total de un décimo de la Vía Láctea.

 

 


¿Qué es la Energía Oscura?

  La pregunta real es ¿qué es la energía oscura? o es ¿qué causa la expansión acelerada del universo? Y como respuesta a esta última pregunta surge que algo tiene que haber para que se produzca esta expansión acelerada, y a ese algo lo denominamos energía oscura.
 

La energía oscura es una forma de energía que estaría presente en todo el espacio. Esta energía oscura estaría produciendo una presión que tiende a acelerar la expansión del Universo. Esta aceleración se hace perceptible cuando el Universo tenía casi 5.000 millones de años.

Esta energía oscura representa el 68% del universo actual, 13.700 millones de años después del Big Bang; pero no siempre ha sido así, cuando el Universo tenía 380.000 años la energía oscura existente a decir de los cosmólogos era cero, nada. Casi 2/3 era materia oscura y el resto la materia ordinaria y componentes conocidos como los fotones y los neutrinos. Esto debería de extrañarnos, quizá no, si pensamos en que todo se inició en una singularidad de masa infinita.

Una explicación que se da para la energía oscura es que es una propiedad del espacio. Albert Einstein fue el primero en darse cuenta de que el espacio vacío no es la nada. El espacio vacio tiene su propia energía y esta no se pierde cuando el espacio se expande , cuando el universo que se ceeo en el Big Bang se expande.

Albert Einstein en su teoría de la relatividad general introdujo en las ecuaciones de campo gravitatorio que definían el Universo, una constante (lambda Λ), llamada con posterioridad constante cosmológica, que le permitía ajustar las ecuaciones a su visión del Universo en aquel momento, un universo estático, compensando a la gravedad.

 

En esta ecuación en lenguaje coloquial lo que se expresa es que “el espacio le dice a la materia cómo debe moverse, y la materia le dice al espacio como debe curvarse”.

Esta visión del universo estático le duro poco a Einstein, ya que Edwin Hubble descubrió al poco tiempo que el universo no era estático sino que estaba en expansión.

Sin embargo aunque la constante cosmológica se introdujo para dar sentido a una visión, hoy cobra fuerza una vez que en los años 90 se descubrió que no solo es que el universo se esté expandiendo, además lo está haciendo de forma acelerada. La constante cosmológica puede tomar ciertos valores que justificarían esta expansión acelerada.

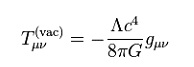
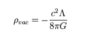
Suponiendo que el vacío viene representado por un tensor de energía-impulso dado por:

La constante cosmológica sería equivalente a una densidad de energía negativa intrínseca del vacío:

Expresando Λ en términos positivos nos indicaría una densidad de energía positiva, una energía distinta de cero en el vacío, indicando una presión negativa, que justificaría la expansión acelerada del universo.

Hoy por hoy con los modelos inflacionarios de generación del universo conocido consolidados no se tiene la certeza de la relación entre energía oscura, inflación y constante cosmológica.

Hoy todavía estamos intentando entender las increibles propiedades que tiene el espacio, todavía algunas de ellas no encontradas y cuales son los componentes de este espacio. Hoy se habla de que el espacio esta lleno de “partículas virtuales” temporales, particulas que se forman temporalmente y luego desaparecen, y son las constituyentes del “espacio vacio”. Los físicos han intentado calcular cuanta es esa energía pero hasta ahora los resultados no son buenos.

Tambien se habla de una energía de campo o un fluido dinámico, la “quintaesencia”, algo que llena todo el espacio , algo cuyo efecto sobre la expansión del Universo sería lo opuesto al efecto que ejerce la materia y la energía normal.

Todavía existe una gran misterio en relación a todo esto. Se necesitara avanzar en nuevos instrumentos y en mejorar los modelos existentes del universo.


¿Qué es la Materia Oscura?

De acuerdo al modelo estándar representa el 27% en el universo actual y representó el 63 % cuando el universo tenía 380.000 años. Se habla de materia oscura para intentar cerrar el balance entre lo que vemos y cuantificamos de materia y lo que inferimos al observar las galaxias, las lentes gravitatorias, los movimientos de estrellas entorno a algo que no vemos, pero que ejerce un poder gravitacional, y cuantificar lo que falta al hacer el balance de materia.

En la imagen podemos ver el efecto de lente gravitatorio producido por la materia oscura en la luz de una galaxia de anillo, en el centro dentro del círculo verde, alrededor de esa imagen a modo de las agujas de un reloj (a las 4, 10, 11 y 12) podemos ver la luz especular generada por la fuerza gravitacional de la materia oscura.

Hoy sabemos lo que no es. No son nubes de partículas bariónicas, ya que estas absorberían luz y seriamos capaces de detectarlo. Tampoco es antimateria, porque en su aniquilamiento con la materia normal veríamos grandes fuentes de rayos gamma y tampoco son agujeros negros ya que una de las cosas que vemos son lentes gravitatorias, es decir fuentes de luz que la materia es capaz de desviar.

Hoy se habla de materia oscura fría en el modelo ? – cold dark matter (? MOF en español), donde se proponen para la materia oscura una composición de partículas con masa débilmente interactuantes. Partículas supersimétricas como los neutralinos, ? (hoy no detectados); partículas sin carga eléctrica (partículas neutras), sin carga de color, interactuantes sólo a nivel gravitacional y de interacción débil, no decaen en partículas ordinarias y su densidad cósmica, establecida en el Universo temprano, concuerda con el valor de densidad crítica del universo actual con materia oscura fría (?MOF actual). Los neutralinos podrían tener una masa desde 30 veces la masa del protón hasta 5000 veces. Hay otras partículas que se han propuesto como los neutrinos con masa (ya detectados) o los axiones (no detectados todavía) pero estos no justificarían por su muy pequeña masa la materia oscura del universo. Hoy existen proyectos de búsqueda denominados CDMS (Cryogenic Dark Matter Search), DAMA/LIBRA, CREST-II y CoGeNT.

En los modelos de supersimetría, todas las partículas del modelo estándar tienen partículas asociadas con los mismos números cuánticos excepto por el “spin o giro”, que se diferencia en 1/2 para su partícula compañera. Así los compañeros supersimétricos del bosón Z (Zino), el fotón (photino) y los neutros del bosón de Higgs (higgsino) tienen los mismos números cuánticos, que se pueden mezclar para formar cuatro estados propios a los que se denomina neutralinos, con propiedades distintas según pueda ser la mezcla.

Hay otras postulaciones que se proponen en relación a la materia oscura: materia oscura caliente, materia oscura tibia, materia oscura ligera, etc.; cada una con su componente en forma de partículas, lo que indica que todavía existe una gran necesidad de “experimentación” con nuestro Universo y de identificación de los últimos componentes del mismo.


¿Existen otras alternativas a la existencia de la Energía Oscura?

Algunos cosmólogos piensan que no es posible extrapolar la ley de la gravedad a estructuras supermasivos como los supercúmulos de galaxias y que por lo tanto la Teoría de la relatividad General no es válida y por lo tanto no existe la energía oscura, pero no se han encontrado observaciones que lo demuestren.

Las ideas alternativas a la energía oscura han venido desde la teoría de cuerdas(ver en esta web),la cosmología Brana y el principio holográfico, pero no han sido probadas todavía tan convincentemente como la quintaesencia y la constante cosmológica. Realmente no resuelven el problema, sino que lo trasladan a multiversos.

La teoría de las cuerdas añade seis nuevas dimensiones a las cuatro usuales (las tres dimensiones del espacio y el tiempo) y colocaría la materia oscura en estas nuevas dimensiones que nos son inaccesibles. Las fuerzas electromagnéticas y nucleares fuertes y débiles estarían confinadas en nuestras cuatro dimensiones y no podrían abandonarlas. En cambio, la gravitación podría dispersarse en otras dimensiones.


¿Qué consecuencia tiene la existencia de la energía oscura?

 

Existía una contradicción entre los cálculos de la edad del universo utilizando la constante de Hubble (10.000 millones de años) y las observaciones de las estrellas más antiguas, la introducción de la energía oscura lleva la edad del universo a 13.700 millones de años más consistente con las observaciones de estrellas y con los datos del satélite WMAP (Wilkinson Microwave Anisotropy Probe). Luego el Universo es más antiguo de lo que se creía.

En un universo en expansión acelerada dominará la energía oscura. Según se doble el universo la densidad de materia oscura se dividirá a la mitad mientras que la densidad de energía oscura permanecerá constante de acuerdo al modelo de constante cosmológica.

El fondo de microondas detectado por el WMAP indica que la geometría del Universo es plana, es decir, el Universo tiene la masa justa para que la expansión continúe indeterminadamente, pero una parte de esa materia es lo que no vemos, la materia oscura.

Con el descubrimiento de la energía oscura hoy se sabe que el destino del Universo ya no depende de la geometría del mismo, es decir, de la cantidad de masa que hay en él. En el principio, cuando todo era masa, la fuerza gravitacional freno la expansión pero cuando la energía oscura superó el efecto de la fuerza gravitatoria de la materia, comenzó la aceleración de la expansión.

El futuro último del Universo depende de la naturaleza exacta de la energía oscura. Si ésta es una constante cosmológica (la densidad media del universo es igual a la densidad crítica omega igual a 1), el futuro del Universo será muy parecido al de un Universo plano, similar a un universo abierto con densidad crítica omega menor que 1. El destino final de un universo plano o un universo abierto es la muerte térmica por enfriamiento (Big Freeze). En algunos modelos la densidad de la energía oscura aumenta con el tiempo, provocando una aceleración exponencial. La aceleración sería tan rápida que superaría las fuerzas de atracción nucleares y destruiría el Universo en unos 20.000 millones de años, en el llamado el gran desgarro o expansión eterna (Big Rip). En este modelo las galaxias y eventualmente todas las formas de vida, no importa cuánto de pequeñas sean, se disgregarán en partículas elementales desligadas. El estado final del Universo es una singularidad, ya que la tasa de expansión es infinita.

 

Ideas especulativas sobre el futuro del Universo nos llevan a que la energía oscura puede disiparse con el tiempo o incluso llegar a ser atractiva. Esta última abriría la posibilidad de que la gravedad todavía pueda conducir al Universo que se contrae a sí mismo en un "Big Crunch" hasta alcanzar la singularidad, para volver a explotar en un nuevo Big Bang.

Escenarios del tipo modelo cíclico del universo, sugieren que este podía ser el caso. Big Bang seguidos de Big Crunch y así de forma cíclica, en lo que sería un rebote (Big Bounce en lengua inglesa). Un universo cerrado, con densidad crítica omega mayor que 1 daría lugar a este tipo de modelos de fin del Universo.

Hoy por hoy las observaciones van en la dirección de que el universo es plano y por lo tanto se encamina aun fin del tipo Big Freeze o del tipo Big Rip.

Hay teorías de multiversos, teoría de cuerdas y teoría M, donde las leyes de la física pueden ser otras y por lo tanto estaríamos hablando de un universo local cuando nos referimos a su final, dado que este se basa en las leyes físicas que conocemos

Referencias relacionadas con la Energía Oscura y la Materia Oscura

El enigma de la Materia oscura

El enigma de la Energía oscura

Dark Energy, dark matter

Energía oscura

Materia oscura

Dark Energy Survey

Cryogenic Dark Matter Search

Dark Matter

Energy Matter

Destino final del universo

WMAP

Fronteras de la física del siglo XXI. Octavio Miramontes y Karen Volke. Publishing Open Access with an Open Mind 2013. En la web


Videos sobre la energía oscura y sobre la Materia Oscura


Exploring the Dark Universe: Dark Energy


Dark matter: The matter we can't see - James Gillies


Wilkinson Microwave Anisotropy Probe (WMAP) Mission (Liz Citrin)

Click Para Comentarios

¡ Muchas Gracias !

Germán y Paco Domingo